"When you have eliminated the impossible whatever remains, however improbable, must be the truth."
- Sherlock Holmes
Superligasæsonen 2015-16 er stadig ung, så der er ikke meget umuligt at udelukke. Men det står et af mine Google-regneark alligevel og gør:
 |
| Når sæsonen går i gang, kan alle hold teoretisk set ende med mellem nul og 3*33=99 points. Der er kun spillet 11 kampe, så det eneste, man kan udelukke, er f.eks., at de hold, der har vundet to ud af to kampe (FC Midtjylland og OB) ender med mellem 6 og 99 points, og at de hold, der har tabt to ud af to kampe (Brøndby IF, Hobro og FC Nordsjælland), ender med mellem nul og 93 points. |
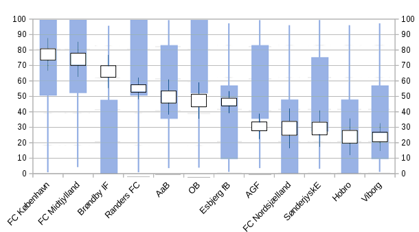
Mere eller mindre kvalificerede gæt kan forsøges til enhver tid. Og bliver det af bookmakerne, diverse fodboldeksperter, -amatører, -journalister og -fans. Holdene kan ranglistes målt på blandt andet økonomi, historie, trupstatus med meget mere. Et vægtet snit af en række sådanne målestokke er brugt til at simulere hele sæsonen minus de allerede kendte resultater, simulationen er kørt ti gange og nedenstående graf viser statistikken over simulationerne:
 |
| Ikke bare et gæt. Men ti ikke helt ukvalificerede gæt. |
Hvad ser vi, hvis de to grafer kombineres?
 |
| (Ikke helt præcis - det gik lidt stærkt.) |
Hvad ser du?